當前位置: 主頁 > 技術&應用 >
 

如何創建可程式設計輸出反相降壓-升壓穩壓器

本文作者:德州儀器       點擊: 2018-11-29 13:01
前言:
作者:德州儀器Akshay Mehta, Frank De Stasi
在很多應用中,尤其是測試和測量領域,您都需要借助外部裝置或數位類比轉換器設置反相降壓/升壓穩壓器的輸出電壓。在常規的降壓拓撲中,這種操作很簡單:只需要借助一個帶有串聯電阻器的電壓電源、一個電流源或者一個DAC將電流導入回饋節點,如圖1所示。
 

1.採用降壓拓撲的可程式設計電壓

但是,如果您需要改變降壓-升壓拓撲中的電阻器的電壓,就有一點麻煩了。

您可以通過反相接地和VOUT電位並使積體電路的參考位於-VOUT電位而配置降壓-升壓拓撲中的降壓穩壓器。也就是說穩壓器積體電路的接地腳位於-VOUT。由於穩壓器的FB引腳位於-VOUT電位而非接地電位上,將電流導入FB引腳便有一點棘手。為將電流導入反相降壓-升壓拓撲中的FB引腳,您需要電平移動電壓源/DAC的信號。在本文中,我將向大家介紹一些不同的方法。

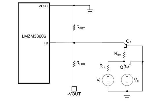
以德州儀器的LMZM33606為例。LMZM33606是一個額定輸入電壓為36V的降壓電源模組,最大負載為6A。 圖2說明了如何將LMZM33606設置為反相降壓-升壓穩壓器。
 

2.利用LMZM33606反相降壓-升壓。

方法1:使用一個PNP的電平位移器
在這些降壓-升壓應用中使用LMZM33606時,可以實現-15V至-5V的可程式設計輸出電壓範圍。通過電流源方法,您能夠以絕對量級調低穩壓器的輸出。這樣,在設置回饋分頻器電阻器時,便可以將設計的默認輸出設為-15V。添加外部電流源時,您可以將穩壓器輸出設置為-5V。默認輸出為-15V時,計算的高回饋值和低回饋值分別為:
• RFBT = 100kΩ.
• RFBB = 7.42kΩ.

電平位移接地參考信號以將電流導入FB引腳的最簡單的方法是,使用單PNP型雙極性電晶體(BJT)。圖三說明了如何將一個單PNP作為電平位移器使用。
 

3.使用單PNP的部署。

PNP Q1的基極接地,反射極通過電阻器連接DAC/電壓源。電壓源高於PNP基地發射下拉(VBE)時,會產生等式1所述的電流:
 


Rext設定為50kΩ。FB節點可以應用基爾霍夫電流定律,您可以使用等式2計算電流IX:
 


在等式2中代入等式1,得出等式3,由此可以計算出調整輸出電壓VOUT所需的程式設計電壓VX:
 


將等式3變成等式4,可以得出根據VX值進行變成的VOUT:
 


等式4說明了VOUT對電晶體VBE的從屬關係。電晶體VBE本身取決於集電極電流,隨溫度變化時,會影響程式設計VOUT的精確度。

下一個方法說明了如何從等式中移除VBE。圖4所示是一個有兩個PNP電晶體的電路,所採用的連接方式可以抵消VBE的影響。

方法2:使用兩個PNP的電平位移器
 


4.使用兩個PNP抵消VBE的部署。

本方法需要使用兩個PNP,最好是使用兩個組合包裝的PNP BJT,以確保兩個電晶體之間匹配良好。本方法還可以減少輸出電壓程式設計中的錯誤。

Q1電晶體的基極連接至程式控制電壓源。發射極經由一個串聯電阻器RS連接至另一個正電軌,並且集電極接地。這樣便可以在電晶體的發射極形成一個VX + VBE電壓。Q2電晶體的發射極通過電阻器RX連接至Q1的發射極。RX設置導入FB節點的電流。基極接地後,Q2發射極節點產生一個+VBE。等式5計算了流至發射極的電流(理想情況):
 


之前曾解釋過,電晶體的VBE取決於集電極電流,如等式6所述:
 


其中IC為集電極電流,IS為飽和電流,VT為熱電壓。

如果兩個電晶體的集電極電流差異較大,則VBE不會完全彼此抵消。等式7闡述了電晶體兩個VBE之間的差異:
 


簡化為等式8:
 


其中X為兩個集電極電流的比率。

如您所見,如果兩個集電極電流相同,則VBE將完全抵消。在圖4所示的配置中,設定RS的值時,需要確保集電極電流之間的差異不是太大。在本例中,我選擇的RS為10kΩ,RX為50kΩ。VBE的增量也會隨著VT而變化,它會隨著溫度變化而發生。

方法3:改良版威爾遜電流鏡

使用電流鏡匹配集電極電流是一個非常有效的方法。對此,相比常規的電流鏡,威爾遜電流鏡是一個更好的選擇。圖5是威爾遜電流鏡中使用的原理圖。
 


5.使用威爾遜電流鏡部署

本方法中,有另外一個BJT,基極連接至Q1的集電極。Q3的發射極連接至電流鏡的VBE結點。程式控制電流經Q3電晶體的集電極流至FB引腳。

現在可暫時忽略電阻器RB,等式9按照以下方式計算導入本設置中的參考電流:
 


等式10得出了導入電流與參考電流的比率。
 


在電晶體的增量() 為較大的值時,可以看到威爾遜電流鏡的精度遠高於標準電流鏡。

威爾遜電流鏡不會完全消除對VBE的依賴性。但可以通過一個簡單的方法避開。將電阻器RB從源VX連接至電流鏡基極,如圖5所示,形成一個添加至參考電流IX的電流。將等式9改寫為等式11:
 


等式12選擇RB:
 


等式13:
 


等式13中的VBE組件完全抵消,得出等式14:
 


等式14說明,導入FB節點的電流僅基於程式控制電壓,不受VBE影響。

無論使用哪一種方法,都可以借助少數幾個元件為反相電軌創建一個程式控制輸出電壓。電路的複雜性依具體的系統要求而異。對於要求極高保真度的應用,威爾遜電流鏡是最佳的解決方案,因為它可以得出與程式控制電壓最接近的回應。

參考文獻
LMZM33606資料表
瞭解有關TI Power的更多資訊:
1. 參閱《電源設計基礎》
全書內容豐富、完整,囊括了從電路元器件,電源基本電路拓撲,各種控制策略,磁元件設計,輔助電源電路,電磁雜訊處理,電源故障管理,實現高效率設計,數位功率控制以及電源結構這些涉及電源幾乎所有方方面面的完整內容。
 
作者簡介:羅伯特A曼馬諾( Robert A. Mammano) 是電力電子領域的先驅,在模擬電源控制領域,擁有超過50年的經驗。他還被稱為"PWM控制器行業之父",于1974年設計了第一個完全集成的PWM控制器IC SG1524。曼馬諾於1957年在科羅拉多大學獲得物理學學位,從此開始了他的職業生涯。
 
或掃描二維碼,即可享受免郵購書
 
2. 使用WEBENCH®
TI致力於不斷改善線上設計體驗。
為了履行這一承諾,我們邀您體驗我們的首款未來HTML5應用 — 全新的WEBENCH®電源設計器(Beta版)!
瞭解更多資訊, 請觀看WEBENCH®介紹視頻,或閱讀相關博客
 

電子郵件:look@compotechasia.com

聯繫電話:886-2-27201789       分機請撥:11