當前位置: 主頁 > 技術&應用 >
 

採用業界最小的運算放大器設計麥克風電路

本文作者:Collin Wells       點擊: 2019-02-12 11:23
前言:
語音指令是許多應用中的一種流行功能,也是讓產品具備差異化市場競爭力的優勢之一。麥克風是任何基於語音或語音的系統不可缺少的主要組成部分,而駐極體麥克風憑藉體積小、低成本和高性能的特點成為了此類應用的常見選擇。

本文圍繞高性能、成本敏感型電路系列文章的主題,為大家介紹體積極小、成本優化的駐極體電容式麥克風前置放大器的設計。該設計採用TLV9061,這是業界最小的運算放大器(op amp),採用0.8mm×0.8mm超小外形無引線(X2SON)封裝技術。駐極體麥克風放大器的電路配置如圖1所示。
 

圖 1:同相駐極體麥克風放大器電路

大多數駐極體麥克風都採用結型場效應電晶體(JFET)進行內部緩衝,JFET採用2.2kΩ上拉電阻進行偏置。聲波移動麥克風元件,導致電流流入麥克風內部的JFET漏極。JFET漏極電流在R2上產生電壓降,該電壓降交流耦合,偏置到中間電源並連接到運算放大器的IN+引腳。運算放大器配置為帶通濾波的同相放大器電路。利用預期的輸入信號電平和所需的輸出幅度和回應,您可以計算電路的增益和頻率響應。

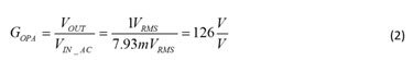
讓我們來看一個電路的示例設計,用於+ 3.3V電源,輸入為7.93mVRMS,輸出信號為1VRMS。7.93mVRMS對應於具有麥克風的0.63Pa聲級輸入和-38dB聲壓級(SPL)靈敏度規格。頻寬目標是將300Hz的常見語音頻率頻寬傳遞到3kHz。

公式1顯示了定義VOUT和AC輸入信號之間關係的傳遞函數:
 

公式2根據預期的輸入信號電平和所需的輸出電平計算所需的增益:
 

 
選擇標準的10kΩ回饋電阻,並使用公式3計算R6:
 
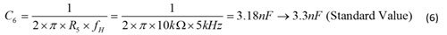
要將所需通帶中的衰減從300Hz降至3kHz,請將上(fH)和下(fL)截止頻率設置在所需頻寬之外(公式4):
 


選擇C7設置fL截止頻率(公式5):
 

選擇C6以設置fH截止頻率(公式6):
 

要將輸入信號截止頻率設置得足夠低以使低頻聲波仍能通過,請選擇C2以實現30Hz截止頻率(fIN)(公式7):
 

圖2顯示了麥克風前置放大器電路的測量傳遞函數。由於高通濾波器和低通濾波器之間的窄頻寬和衰減,平帶增益僅達到41.8dB或122.5V / V,略低於目標。
 

圖 2:麥克風前置放大器的傳輸功能

採用TI的X2SON封裝技術將電路安裝到6mm直徑駐極體麥克風的背面。由於安裝尺寸限制,需要採用非常小的運算放大器:TLV9061的占位面積僅0.8mm×0.8mm。此外,0201小尺寸電阻和電容最大限度地減小印刷電路板(PCB)面積,您也可以採用更小的電阻來進一步減小該面積。印刷電路板佈局如圖3和圖4所示。
 

圖 3:安裝6mm直徑駐極體麥克風背面的麥克風前置放大器佈局
 

圖 4:PCB設計的三維視圖,顯示了麥克風和PCB的不同角度

您可以調整上述設計步驟,以滿足不同的麥克風靈敏度要求。在使用TLV9061等小型放大器進行設計時,請注意參考“採用TI X2SON封裝進行設計和製造中的佈局最佳實踐”

其他資源
• 下載TLV9061資料表。
• 為了簡化和加快系統設計,可以下載《類比工程師電路設計指導手冊》,該手冊提供了一個全面的子電路設計理念庫。
• 可以在《模拟口袋参考指南》中查找常用的模擬設計公式。

 

電子郵件:look@compotechasia.com

聯繫電話:886-2-27201789       分機請撥:11